台达高阶伺服系统
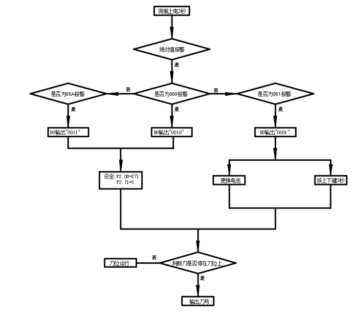
针对机床对提升刀库/刀塔作业精度和效率的需求,台达工业自动化研发推出的高阶伺服系统ASDA-A3/B3系列具备出色的驱动和控制性能,成为机床行业客户建构刀库/刀塔系统的全新选择。ASDA-A3系列集成执行刀库/刀塔作业所需的控制逻辑,并支持常用的车床刀塔、斗笠式刀库、ATC圆盘式刀库、链式刀库等,数控系统只需提供目标刀号及运转指令,刀库/刀塔伺服即可根据指令,选择最优的运转路径进行作业,到位后亦会回传当前刀号、运转完成信号,供系统判断刀架是否转到位、或是乱刀。
Equipment and tools












本文地址:https://www.52plc.cn/2022/02/industry/servo/a3-b3.html
版权声明:欢迎分享本文,转载请保留出处!
版权声明:欢迎分享本文,转载请保留出处!